วันอาทิตย์ที่ 29 เมษายน พ.ศ. 2555

การวัดระดับของเหลวในถัง MO Memoir : Sunday 29 April 2555


เช้าวันศุกร์ที่ ๒๗ เมษายนที่ผ่านมา ก่อนจะเริ่มการบรรยายที่หน่วยงานแห่งหนึ่ง วิศวกรผู้หนึ่งของกลุ่มหน่วยงานนั้นได้เข้ามาถามปัญหาเรื่องเกี่ยวกับตัวเร่งปฏิกิริยา โรงงานของเขาทำการผลิตพอลิเอทิลีนความหนาแน่นสูงโดยใช้เครื่องปฏิกรณ์แบบถังกวนชนิด slurry reactor รายละเอียดของคำถามของเขาและความเห็นที่ผมให้ไปจะเล่าต่อใน Memoir ฉบับหน้า แต่เนื่องจากคำถามของเขามันเกี่ยวกับอุปกรณ์วัดระดับของเหลวในถัง ดังนั้นผมจึงเห็นว่าควรที่จะปูพื้นฐานให้พวกคุณที่ยังคงไม่ค่อยจะมีหรือไม่มีความรู้เกี่ยวกับอุปกรณ์วัดระดับของเหลวในถังก่อน โดยจะแนะนำให้รู้จักเพียงบางชนิดง่าย ๆ ก่อนเท่านั้น

รูปที่ ๑ (ซ้าย) หลักของของอุปกรณ์สำหรับดูระดับของเหลวในถังแบบง่าย ซึ่งของเหลวในท่อแก้ว (หรือท่อโลหะที่มีกระจกหน้าต่างเป็นแก้ว) จะเปลี่ยนแปลงตามระดับความสูงของของเหลวในถัง แต่ถ้าหากเกิดอุบัติเหตุที่ทำให้ท่อแก้วแตกก็จะทำให้ของเหลวในถังรั่วไหลออกมา บางบริษัท (รูปขวา) จึงได้ออกแบบให้มีลูกลอยที่เป็นแม่เหล็กลอย (Float) อยู่ในท่อโลหะ (Float chamber) ลูกลอยแม่เหล็กจะลอยขึ้นลงตามระดับความสูงของของเหลวในถัง และแรงแม่เหล็กจะไปทำให้ลูกลอยอีกตัวหนึ่ง (Indicator) ที่อยู่ในท่อบอกระดับ (Indicator tube) ลอยขึ้นลงตามไปด้วย ในการใช้งานนั้นจะต้องเปิดวาล์วเชื่อมต่อกับถังทั้งตัวบนและตัวล่าง ในกรณีที่ความสูงของของเหลวในถังมีการเปลี่ยนแปลงเกินกว่าที่จะใช้อุปกรณ์เพียงตัวเดียววัดได้ ก็จะใช้อุปกรณ์ดังกล่าวหลายตัวติดตั้งที่ระดับความสูงที่แตกต่างกัน
(รูปขวามาจาก http://www.babbittlevel.com/llg.html)

แบบแรกที่จะแนะนำให้รู้จักคือแบบท่อแก้ว อุปกรณ์ชนิดนี้เป็นอุปกรณ์วัดระดับความสูงของของเหลวโดยตรง ข้อเสียของอุปกรณ์ชนิดนี้คือมีส่วนที่เป็นกระจกซึ่งเป็นวัสดุที่แตกหักง่าย ดังนั้นจึงไม่เหมาะกับการวัดระดับถังความดันหรือบรรจุของเหลวอันตรายหรือสารที่เป็นของเหลวภายใต้ความดัน ในกรณีที่ต้องการวัดการเปลี่ยนแปลงระดังที่มากก็อาจทำการติดตั้งอุปกรณ์หลายตัวให้อยู่ในระดับความสูงที่แตกต่างกัน ตัวอย่างของอุปกรณ์ประเภทนี้ผมนำมาแสดงในรูปที่ ๑ และ ๒ แล้ว

รูปที่ ๒ ตัวอย่างอุปกรณ์ดูระดับของเหลวในถังชนิดที่เป็นท่อแก้ว 
(รูปจาก http://amonton.com/gpage8.html)

ในกรณีที่เป็นถังเก็บขนาดใหญ่ จะมีอุปกรณ์บอกระดับชนิดลูกลอย (ดูรูปที่ ๓ ประกอบ) อุปกรณ์นี้จะมีลูกลอยตัวหนึ่งลอยอยู่บนผิวของเหลวในถัง โดยจะลอยขึ้นลงตามระดับความสูงของของเหลว ลูกลอยนี้จะมีลวดผูกเชื่อมพาดผ่านระบบรอกเข้ากับตัวชี้ระดับที่แขวนห้อยอยู่ด้านนอกถัง เมื่อลูกลอยลอยสูงขึ้นตัวชี้ระดับก็จะเคลื่อนต่ำลง และเมื่อลูกลอยลดต่ำลงตัวชี้ระดับก็จะเคลื่อนสูงขึ้น อุปกรณ์ชนิดนี้ก็เป็นอุปกรณ์ที่วัดระดับของเหลวในถังโดยตรง

รูปที่ ๓ อุปกรณ์วัดระดับของเหลวในถังเก็บความดันบรรยากาศ
(รูปจาก http://www.tankgauging.com/products/6700lli.html)

ในกรณีของถังบรรจุของเหลวภายใต้ความดันและ/หรืออุณหภูมิที่แตกต่างไปจากอุณหภูมิห้องมาก (ทั้งร้อนและเย็น) จะไม่ทำการวัดระดับของเหลวในถังโดยตรง แต่จะทำการวัดแตกต่างระหว่างความดันด้านบนของถัง (ซึ่งเป็นความดันที่เกิดจากความดันของแก๊สที่อยู่เหนือผิวของเหลว) และความดันที่ก้นถัง (ซึ่งเป็นความดันที่เกิดจากความดันของแก๊สที่อยู่เหนือผิวของเหลวรวมกับความดันที่เกิดจากระดับความสูงของของเหลว) และถ้าทราบความหนาแน่นของของเหลวที่บรรจุอยู่ก็จะสามารถคำนวณหาระดับความสูงของของเหลวได้ อุปกรณ์ที่ใช้วัดความแตกต่างความดันนี้เรียกว่า differential pressure transmitter (หรือบางทีก็เรียกว่า dp cell) อุปกรณ์ประเภทนี้จะสามารถส่งสัญญาณความดันไปแสดงผลยังห้องควบคุมหรือไปยังระบบคอมพิวเตอร์ควบคุมได้


รูปที่ ๔ การวัดระดับของเหลวในถังด้วย Differential pressure transmitter

ในกรณีของการใช้ differential pressure transmitter ในการวัดความดันนั้น ควรที่จะพึงระลึกว่าความดันที่ก้นถังเปลี่ยนแปลงตาม 
 
(ก) ระดับความสูงของของเหลวภายในถัง และ/หรือ
(ข) ความหนาแน่นของของเหลวภายในถัง

ถ้าถังนั้นเป็นถังบรรจุสารบริสุทธิ์หรือสารผสมที่มีส่วนผสมคงที่และมีการเปลี่ยนแปลงอุณหภูมิไม่มาก ก็อาจถือได้ว่าความหนาแน่นของของเหลวภายในถังนั้นคงที่ แต่ถ้าเป็นถังบรรจุสารผสมที่ส่วนผสมนั้นมีการเปลี่ยนแปลงได้หรืออุณหภูมิของเหลวที่ป้อนเข้าถังนั้นมีการแตกต่างกันมาก ก็ต้องมีการพิจารณาว่าส่วนผสมและ/หรืออุณหภูมิของของเหลวที่เปลี่ยนแปลงไปนั้นส่งผลต่อความหนาแน่นของของเหลวหรือไม่ เพราะการเปลี่ยนแปลงที่ทำให้ความหนาแน่นสูงขึ้นจะทำให้อ่านระดับความสูงของของเหลวได้สูงเกินจริง และในทางกลับกันการเปลี่ยนแปลงที่ทำให้ความหนาแน่นลดลงจะทำให้อ่านระดับความสูงของของเหลวได้ต่ำเกินจริง

การใช้เทคนิคการดูดกลืนกัมมัตภาพรังสีก็สามารถนำมาใช้ในการวัดระดับได้ ซึ่งเทคนิคการวัดการดูดกลืนกัมมันตภาพรังสีอาศัยหลักการที่ว่าวัสดุที่มีความหนาแน่นสูงจะดูดกลืนรังสีได้มากกว่าวัสดุที่มีความหนาแน่นต่ำกว่า เทคนิคนี้สามารถนำไปประยุกต์ใช้ได้กับการวัดระดับของเหลว การวัดระดับของแข็งในถัง และการวัดระดับความสูงของเบดฟลูอิไดซ์

การนำการวัดการดูดกลืนกัมมันตภาพรังสีไปใช้วัดระดับความสูงของของเหลวหรือเบดฟลูอิไดซ์นั้นไม่ค่อยมีปัญหาเรื่องระดับผิวบนสุด เพราะมันจะขนานไปกับพื้นโลกอยู่แล้ว แต่ในกรณีของของแข็งนั้นเวลาที่เราบรรจุของแข็งเข้าไปในถังเก็บหรือไซโล ระดับผิวบนสุดของชั้นของแข็งไม่จำเป็นต้องราบขนานไปกับพื้นโลก แต่อาจกองเป็นเนินสูงหรือเป็นหลุมยุบลงไปก็ได้ ซึ่งสามารถทำให้ผลการวัดระดับความสูงไม่ถูกต้องได้ (ดูรูปที่ ๕)

รูปที่ ๕ การวัดระดับของแข็งในถังเก็บด้วยกัมมันตภาพรังสี ในกรณีของรูปซ้ายนั้นจะให้ระดับที่ถูกต้อง แต่ถ้าผิวบนของชั้นของแข็งมีการลาดเทไปในทิศทางใดทิศทางหนึ่งหรือมีการยุบตัวลงตรงกลาง (ที่อาจเกิดเวลาที่ระบายของแข็งออกจากถังเก็บทางด้านล่าง การวัดระดับก็จะผิดพลาดได้ ดังนั้นวิธีที่ดีกว่าสำหรับการวัด "ปริมาณ" ของแข็งในถังเก็บคือการชั่งน้ำหนัก

เคยมีประสบการณ์ไปเยี่ยมวิศวกรรายหนึ่งที่โรงบำบัดน้ำเสียแห่งหนึ่งที่มีการใช้สารละลายกรดกำมะถันในการบำบัดน้ำเสีย ทางโรงบำบัดน้ำเสียพึ่งจะทำการติดตั้งถังเหล็กสำหรับเก็บกรดกำมะถันเข้มข้นและยังไม่มีการติดตั้งอุปกรณ์วัดระดับใด ๆ เอาไว้กลางแจ้ง หน้าที่หนึ่งของวิศวกรท่านนั้น (พึ่งจะจบมาใหม่) คือการหาว่าในแต่ละวันจะใช้กรดกำมะถันปริมาณเท่าใด เพื่อที่จะได้วางแผนการสั่งเข้ามาทดแทน ถังดังกล่าวสูงประมาณ ๒ เมตรเศษ

การหาปริมาณกรดกำมะถันที่ใช้ไปนั้นจะหาจากการเปลี่ยนแปลงปริมาตรของกรดที่เหลืออยู่ในถัง จากการวัดขนาดเส้นผ่านศูนย์กลางของถังก็จะหาพื้นที่หน้าตัดของถังได้ และถ้าทราบความสูงของระดับของเหลวในถังก็จะคำนวณหาปริมาณของกรดในถังได้ ปัญหาของเขาในขณะนั้นคือจะรู้ได้อย่างไรว่าระดับของเหลวในถังอยู่ที่ระดับใด

ผมก็บอกให้เขาพาผมไปที่ถังดังกล่าวแล้วผมก็เอาหลังมือแตะที่ถังนั้นที่ระดับความสูงต่าง ๆ แล้วในที่สุดผมก็บอกเขาว่าตอนนี้ระดับของกรดในถังอยู่ที่ตำแหน่งนี้

ถังที่ตั้งกลางแจ้งที่ตากแดดนั้น อุณหภูมิผิวโลหะส่วนที่ต่ำกว่าระดับของเหลวจะเย็นกว่าอุณหภูมิผิวโลหะส่วนที่อยู่เหนือระดับผิวของเหลว ความแตกต่างนี้แม้ไม่มากแต่หลังมือของเราก็รู้สึกได้ สิ่งที่ผมทำก็คือเอาหลังมือแตะผิวโลหะด้านนอกของถังเพื่อหาว่าที่ระดับใดอุณหภูมิของผิวโลหะแตกต่างกัน ตรงนั้นก็จะเป็นระดับผิวบนของของเหลวในถัง

บ่อยครั้งที่วิศวกรนั้นต้องทำงานโดยไม่มีอุปกรณ์ช่วยใด ๆ โดยเฉพาะการแก้ปัญหาเฉพาะหน้าหรือการแก้ปัญหาหน้างาน ซึ่งก็ต้องฝึกเอาไว้บ้างเผื่อจำเป็น


รูปที่ ๖ ถังที่วางตากแดดนั้นอุณหภูมิของผิวถังเหนือระดับของเหลวจะสูงกว่าอุณหภูมิของผิวถังใต้ระดับของเหลวอยู่เล็กน้อย แต่ก็มากพอที่มือของเราจะรู้สึกได้ ในกรณีที่ไม่มีอุปกรณ์วัดใด ๆ เลยเราก็สามารถใช้วิธีการนี้ระบุความสูงของของเหลวในถังได้

วันเสาร์ที่ 28 เมษายน พ.ศ. 2555

เพลิงไหม้โรงงานผลิต HDPE เมื่อธันวาคม ๒๕๓๑ MO Memoir : Saturday 28 April 2555


จากผลกระทบจากน้ำท่วม ทำให้ต้องมีการขนของหนีน้ำและเมื่อน้ำแห้งก็ต้องมาจัดบ้านกันใหม่ ทำให้ได้พบกับภาพถ่ายที่ถ่ายเอาไว้เมื่อ ๒๓ ปีที่แล้ว ยังดีที่เหลือภาพอยู่ แต่ฟิล์มต้นฉบับไม่รู้ว่าอยู่ในกลุ่มพวกที่เสียหายจากน้ำท่วมหรือเปล่า

รายละเอียดของเหตุการณ์ที่เกิด (version ที่ผมได้รับฟังจากเจ้าหน้าที่ตำรวจที่เข้าไปสอบสวนเหตุการณ์) เคยเล่าเอาไว้ใน Memoir ฉบับปีที่ ๒ ฉบับที่ ๕๘ วันอาทิตย์ที่ ๒๗ กันยายน พ.ศ. ๒๕๕๒ เรื่อง "Ethylene polymerisation"

ตอนนั้นผมเช่าบ้านอยู่ที่เนินพระ ห่างจากถนนสุขุมวิทก็หลายสิบเมตรอยู่ แต่ตอนนั้นระหว่างบ้านที่ผมเช่ากับถนนนั้นไม่มีอะไรขวางกัน คืนนั้นตื่นขึ้นมาตอนดึกมาก เข้าใจว่าเป็นหลังเที่ยงคืน ที่ตื่นก็เพราะได้ยินเสียงไซเรน โผล่หน้าต่างออกมาดูก็เห็นรถดับเพลิงวิ่งผ่านบ้านพักมุ่งเข้าตัวจังหวัดระยอง

ตอนเช้าตื่นไปทำงาน ไปเจอกับเพื่อนที่เป็นเจ้าหน้าที่ความปลอดภัยที่ทำงานอยู่บริษัทเดียวกันที่ตลาดมาบตาพุด (เพราะต้องไปกินข้าวเช้ากันที่นั่น) ก็ยังแซวมันเล่น ๆ ว่าเมื่อคืนสงสัยมีไฟไหม้โรงงานที่อยู่ทางด้านเชิงเนินแน่

มันก็เดินหายเข้าไปในตลาดสักพักหนึ่ง แล้วก็โผล่ออกมาบอกว่าไฟไหม้โรงงานนั้นจริง ๆ ด้วย
 
สักพักพวกพี่ที่ทำงานเดียวกันอีกกลุ่มหนึ่งก็มาถึง เขาบอกว่าเมื่อคืนไปดูเหตุการณ์ไฟไหม้มา บอกว่าไฟลุกโชติช่วงจนฟ้าสว่าง
 
พอตกตอนสายพวกผมก็นั่งรถตู้บริษัทออกไปดูที่เกิดเหตุกัน แต่เราไม่ใช่พนักงานบริษัทนั้นและไม่ได้มีหน้าที่เกี่ยวข้องอะไรกับการสอบสวน ก็ทำได้แค่นั่งรถวนดูอยู่รอบนอก โดยมีพี่คนหนึ่งที่เคยคุมงานก่อสร้างระบบ piping โรงงานนั้นเป็นคนอธิบายว่าแต่ละส่วนที่เห็นนั้นเป็นส่วนไหนของโรงงาน
 
บังเอิญผมมีกล้องติดไปด้วย ก็เลยถ่ายรูปเก็บเอาไว้ได้ส่วนหนึ่ง เป็นรูปที่ซ้ำ ๆ กันอยู่หลายรูป ทั้งนี้เพราะเพื่อป้องกันว่าภาพจะเสีย ก็เลยต้องถ่ายเผื่อเอาไว้หลายใบ

เมื่อวันพฤหัสบดีที่ผ่านมาที่มีโอกาสได้ไปบรรยายเรื่องตัวเร่งปฏิกิริยาที่บริษัทแห่งหนึ่ง บริษัทแห่งนี้ได้เข้าไปซื้อกิจการของโรงงานที่ถูกไฟไหม้นั้น ผมก็ได้เอาภาพที่ถ่ายเอาไว้ภาพหนึ่งพิมพ์ออกมาและแสดงขึ้นจอพร้อมกับถามเล่น ๆ ว่าพวกคุณที่อยู่ในห้อง (ผู้ที่มานั่งฟังผมบรรยาย) มีใครบอกได้ไหมว่ารูปนี้เป็นรูปโรงงานไหน พร้อมกับบอกใบ้ว่าถ่ายเอาไว้เมื่อกว่า ๒๐ ปีที่แล้ว (เรียกว่าเป็นคำถามเช็คอายุว่ามีใครในห้องแก่ระดับผมบ้าง)
 
พอตกตอนพักก็มีผู้มาถามว่าใช่โรงงานนี้ใช่ไหม ผมก็ตอบว่าใช่ เขาก็บอกว่าตอนนั้นเขาก็ทำงานอยู่ที่นั่น และขอภาพถ่ายของผมไปถ่ายรูปเก็บเอาไว้

Memoir ฉบับนี้ก็เลยถือโอกาสเอารูปดังกล่าวมาลงเพื่อเป็นบันทึกเอาไว้เผื่อมีคนสนใจ ส่วนโรงงานนั้นชื่อโรงงานอะไรผมไม่ขอเอ่ยในที่นี้ แต่คงเดาได้ไม่ยากเพราะได้ให้ข้อมูลไปเยอะแล้ว

รายละเอียดเรื่องอื่นเพิ่มเติมดูได้ที่ http://www.gotomanager.com/news/details.aspx?id=6894 เป็นข่าวย้อนหลังเดือนเมษายน ๒๕๓๒

 รูปที่ ๑ ในกรอบคือบริเวณที่ได้รับความเสียหายจากไฟไหม้ จะเห็นเปลวไฟทำให้เกิดคราบดำบนตัวถัง (ลูกศรชี้)

รูปที่ ๒

รูปที่ ๓

รูปที่ ๔

รูปที่ ๕

รูปที่ ๖

วันศุกร์ที่ 27 เมษายน พ.ศ. 2555

ความเป็นไอออนิก (Percentage ionic character) MO Memoir : Friday 27 April 2555


เมื่อวันจันทร์ที่ ๒๓ เมษายนที่ผ่านมา สาวน้อยหน้าบานพาเพื่อนคนหนึ่งท่าทางกระวนกระวาย (สาวน้อยจากเมืองสุโขทัย) มาถามคำถามผมเกี่ยวกับปัญหาของหมู่ไฮดรอกซิล (Hydroxyl -OH) ว่าตกลงว่ามันเป็นกรดหรือเป็นเบส

อันที่จริงเรื่องนี้ผมเคยพูดไปบ้างแล้วว่าหมู่ -OH นั้น เวลาที่มันอยู่กับสารอินทรีย์ (เช่นแอลกอฮอล์ กรดอินทรีย์ ฟีนอล) มันแสดงฤทธิ์เป็นกรด คือจะแตกตัวให้โปรตอน (H+) ออกมา แต่เวลาที่มันเป็นสารประกอบกับโลหะโดยเฉพาะโลหะ "อัลคาไลน์" และ "อัลคาไลน์เอิร์ธ" มันแสดงฤทธิ์เป็นเบส คือตัวอะตอม O จะดึงอิเล็กตรอนจากอะตอมโลหะทำให้ตัวมันกลายเป็นไอออนลบ OH- ที่เราเรียกว่าหมู่ไฮดรอกซี (Hydroxy)

Electronegativity (En) เป็นค่าที่บอกความสามารถของอะตอมในการดึงอิเล็กตรอนจากอะตอมอื่นเข้าหาตัวมันเอง เวลาที่อะตอมสองอะตอมที่มีค่า En ต่างกันมาสร้างพันธะทางเคมีเข้าด้วยกัน อิเล็กตรอนที่เป็นตัวสร้างพันธะนั้นก็จะเคลื่อนที่ไปมาระหว่างอะตอมทั้งสอง แต่อิเล็กตรอนที่เป็นตัวสร้างพันธะนั้นไม่จำเป็นต้องกระจายตัวอยู่ระหว่างอะตอมทั้งสองเป็นจำนวนที่เท่า ๆ กัน โดยการกระจายตัวของอิเล็กตรอน (ที่เป็นตัวสร้างพันธะนั้น) ที่อะตอมที่มีค่า En สูงกว่าจะมากกว่าที่อะตอมที่มีค่า En ต่ำกว่า (กล่าวคือไปใช้เวลาอยู่ที่อะตอมที่มีค่า En มากกว่าเป็นเวลานานกว่าอะตอมที่มีค่า En ต่ำกว่า)


รูปที่ ๑ ตารางแสดงค่า Electronegativity ของธาตุต่าง ๆ โดยใช้สเกลของ Linus Pauling
(รูปจาก http://www.standnes.no/chemix/periodictable/electronegativity-chart.htm)

วิธีคำนวณค่า En นั้นมีหลายวิธี แต่ที่รู้สึกว่าจะมีการใช้กันมากที่สุดคือสเกลของ Linus Pauling ที่ผมเอามาแสดงในรูปที่ ๑ ในหน้าที่แล้ว

ถึงตรงนี้ต้องขอเตือนเอาไว้ก่อนนะว่าผมเองก็ไม่เคยเรียนวิชาอนินทรีย์เคมีแบบเป็นทางการ เรียนมาแบบอ่านเอาเองหรือไม่ก็แบบ "ครูพักลักจำ"

ตอนที่เราเรียนพันธะทางเคมีนั้น เราจะเรียนว่ามันมีอยู่ ๒ แบบคือพันธะโควาเลนซ์ (covalent bond) และพันธะไอออนิก (ionic bond)

พันธะโควาเลนซ์นั้นเป็นพันธะที่อะตอมสองอะตอมใช้อิเล็กตรอนร่วมกัน ส่วนพันธะไอออนิกนั้นเป็นพันธะที่เกิดจากการที่อะตอมหนึ่งสูญเสียอิเล็กตรอนของมันเองไปให้อีกอะตอมหนึ่ง ทำให้อะตอมที่สูญเสียอิเล็กตรอนมีประจุบวกกลายเป็นไอออนบวก และอะตอมที่รับอิเล็กตรอนมีประจุลบกลายเป็นไอออนลบ และยึดเหนี่ยวเข้าด้วยกันด้วยแรงดึงดูดทางไฟฟ้า

ที่เรียนมานั้นก็ไม่ผิดหรอก เพียงแต่ว่าเรามักจะถูกสอนจนทำให้เรามองกันว่าพันธะโควาเลนซ์กับพันธะไอออนิกนั้น มันเป็นคนละเรื่องกันและแตกต่างกันอย่างสิ้นเชิง ซึ่งตรงนี้มันทำให้เกิดปัญหาในการทำความเข้าใจในหลาย ๆ เรื่อง

ถ้าเราปรับมุมมองสักนิด โดยพิจารณาว่าอะตอมของแต่ละธาตุนั้นต่างมีความสามารถในการดึงอิเล็กตรอนจากอะตอมอื่นเข้าหาตัวมันเอง ดังนั้นเมื่ออะตอมของธาตุสองธาตุเข้ามาสร้างพันธะทางเคมีเข้าด้วยกัน อิเล็กตรอนที่เป็นตัวสร้างพันธะก็จะมีการเคลื่อนย้ายไปมาระหว่างอะตอมทั้งสอง ส่วนจะไปอยู่ที่อะตอมไหนนานกว่ากันนั้นขึ้นอยู่กับค่า En ของธาตุนั้น ถ้าธาตุสองธาตุมีค่า En ใกล้เคียงกัน เวลาที่อิเล็กตรอนตัวที่สร้างพันธะอยู่กับอะตอมใดอะตอมหนึ่งจะเป็นเวลาที่ใกล้เคียงกัน แต่ถ้าธาตุสองธาตุนั้นมีค่า En แตกต่างกันมาก อิเล็กตรอนตัวที่สร้างพันธะก็จะใช้เวลาส่วนใหญ่อยู่ที่อะตอมที่มีค่า En สูง และใช้เวลาเพียงส่วนน้อยอยู่ที่อะตอมที่มีค่า En ต่ำกว่า

ดังนั้นถ้ามองตามมุมมองนี้ ความเป็นไอออนิก 100% ก็จะไม่มี

Linus Pauling ได้ให้สมการสำหรับคำนวณความเป็นไอออนิกของพันธะทางเคมีระหว่างอะตอมสองอะตอม หรือที่เรียกว่า % ionic character โดยใช้ค่า En (ตามนิยามของ Pauling) ดังนี้

% ionic character = {1- exp[-(0.25)(Xa - Xb)2]} x 100

เมื่อ Xa และ Xb คือค่า En ของธาตุแต่ละธาตุที่มาสร้างพันธะเข้าด้วยกัน

ถ้าว่ากันตามนิยามนี้พันธะใดที่มีค่า % ionic character น้อยกว่า 50% ก็จะถือว่าเป็นพันธะโควาเลนซ์ และพันธะใดที่มีค่า % ionic character มากกว่า 50% ก็จะถือว่าเป็นพันธะไอออนิก 
 
แต่พอเอาเข้าจริง ๆ แล้วจะพบว่าพวกที่มีค่า % ionic character อยู่ประมาณช่วงกลาง ๆ (เอาเป็นว่าสักประมาณ 40% - 60%) อาจมองได้ว่าเป็นได้ทั้งพันธะไอออนิกหรือพันธะโควาเลนซ์ก็ได้ ขึ้นอยู่กับว่าสารประกอบนั้นอยู่ในสภาพแวดล้อมอย่างไร

ตัวอย่างเช่น

พันธะระหว่างอะตอม Na (En = 0.93) กับ Cl (En = 3.16)
% ionic character = {1- exp[-(0.25)(3.16 - 0.93)2]} x 100 = 71.15%

พันธะระหว่างอะตอม C (En = 2.55) กับ Cl (En = 3.16)
% ionic character = {1- exp[-(0.25)(3.16 - 2.55)2]} x 100 = 8.88%

พันธะระหว่างอะตอม Ti (En = 1.54) กับ Cl (En = 3.16)
% ionic character = {1- exp[-(0.25)(3.16 - 1.54)2]} x 100 = 48.11%

พันธะระหว่างอะตอม Al (En = 1.61) กับ Cl (En = 3.16)
% ionic character = {1- exp[-(0.25)(3.16 - 1.61)2]} x 100 = 54.85%

พันธะระหว่างอะตอม Cu (En = 1.90) กับ Cl (En = 3.16)
% ionic character = {1- exp[-(0.25)(3.16 - 1.90)2]} x 100 = 32.76%

จากค่าที่คำนวณได้จะเห็นว่าพันธะระหว่าง Na กับ Cl จะเป็นมีความเป็นพันธะไอออนิกที่โดยเด่น ในขณะที่พันธะระหว่าง C กับ Cl จะเป็นพันธะโควาเลนซ์ โดยมีพันธะระหว่าง Cu กับ Cl มีความเป็นโควาเลนซ์ที่เด่นรองลงมา

ส่วนพันธะระหว่าง Ti กับ Cl (เช่นใน TiCl4) ที่มีค่า % ionic character 48.11% และพันธะระหว่าง Al กับ Cl (เช่นใน AlCl3) ที่มีค่า % ionic character 54.85% นั้นบ่อยครั้งที่เรามองว่าสารประกอบดังกล่าวเป็นสารประกอบโควาเลนซ์ และก็มีเหมือนกันในบางกรณีที่ต้องมองเป็นสารประกอบไอออนิก

ทีนี้ลองพิจารณาพันธะระหว่าง Si กับ O และ Al กับ O บ้างว่าเป็นอย่างไร

พันธะระหว่างอะตอม Si (En = 1.90) กับ O (En = 3.44) 
% ionic character = {1- exp[-(0.25)(3.44 - 1.90)2]} x 100 = 44.73%

พันธะระหว่างอะตอม Al (En = 1.61) กับ O (En = 3.44)
% ionic character = {1- exp[-(0.25)(3.44 - 1.61)2]} x 100 = 56.71%

จะเห็นว่าพันธะระหว่าง Si กับ O นั้นและพันธะระหว่าง Al กับ O นั้นต่างก็อยู่ในบริเวณที่อาจมองได้ว่าเป็นทั้งโควาเลนซ์และไอออนิก โดยพันธะระหว่าง Si กับ O นั้นจะมีความเป็นโควาเลนซ์มากกว่าพันธะระหว่าง Al กับ O

ทีนี้ลองดูพันธะระหว่าง H กับ O ดูบ้าง

พันธะระหว่างอะตอม H (En = 2.20) กับ O (En = 3.44)
% ionic character = {1- exp[-(0.25)(3.44 - 2.20)2]} x 100 = 31.91%

จะเห็นว่าพันธะระหว่าง H กับ O มีความเป็นไอออนิกต่ำกว่ากว่าพันธะระหว่าง Al กับ O หรือ Si กับ O เสียอีก

ที่นี้ถ้าเราลองพิจารณาโครงสร้าง Si-O-H กับ Al-O-H 
 
สารประกอบไอออนิกนั้นจะแตกตัวเป็นไอออนเมื่อของเหลวที่มาล้อมรอบมีความเป็นขั้วที่แรงมากพอที่จะกระชากเอาไอออนของผลึกออกมา การละลายของสารประกอบไอออนิกในตัวทำละลายมีขั้วนั้นตัวทำละลายมีขั้วจะดึงเอาไอออนบวกและลบออกจากกันและหุ้มไอออนเหล่านั้นเอาไว้ ถ้าแรงยึดเหนี่ยวระหว่างไอออนบวกและไอออนลบนั้นสูงกว่าแรงระหว่างตัวทำละลายกับไอออน สารประกอบไอออนิกนั้นก็จะไม่ละลายในตัวทำละลายนั้น

ส่วนการละลายของโมเลกุลโควาเลนซ์มีขั้วนั้นจะเป็นการที่ตัวทำละลายมีขั้วเข้าไปล้อมรอบโมเลกุลโควาเลนซ์มีขั้วนั้น และแยกโมเลกุลโควาเลนซ์มีขั้วนั้นออกจากโมเลกุลโควาเลนซ์มีขั้วที่อยู่เคียงข้างกัน

ส่วนหมู่ O-H นั้นจะจ่ายโปรตอนเมื่อมีเบสที่แรงมากพอมาดึง

ตรงนี้ต้องทำความเข้าใจนิดนึงว่า ตัวทำละลายที่มีขั้วแรงกับตัวทำละลายที่เป็นเบสแรงนั้นเป็นคนละเรื่องกัน

H2O เป็นตัวทำละลายที่มีความเป็นขั้วแรง (มันมีพันธะไฮโดรเจน) แต่มันไม่ได้เป็นเบสที่แรง NH3 (เหลว) เป็นตัวทำละลายที่เป็นเบสที่แรง แต่มันไม่ได้เป็นตัวทำละลายที่มีขั้วแรง (H2O มีน้ำหนักโมเลกุล 18 มีจุดเดือด 100ºC ส่วน NH3 มีน้ำหนักโมเลกุล 17 มีจุดเดือด -33.34ºC ทั้งนี้เพราะโมเลกุลของ มีความเป็นขั้วที่แรงกว่า โมเลกุลH2O จึงยึดเหนี่ยวกันแน่นหนากว่าโมเลกุล NH3)

O-H ที่อยู่บนพื้นผิว Al2O3 เรียกว่าเป็น surface hydroxyl ไม่ใช่ aluminium hydroxide - Al(OH)3
Al(OH)3 เป็นสารประกอบ amphoteric คือแสดงได้ว่าเป็นทั้งกรดและเบส การเป็นได้ทั้งกรดและเบสไม่ได้หมายความว่ามันแสดงความเป็นกรดและเบสพร้อม ๆ กัน แต่หมายความว่าถ้ามันเจอกับกรดมันจะทำตัวเหมือนกับว่ามันเป็นเบส คือจะสะเทินกรดด้วยการปลดปล่อย OH- ออกมา และถ้าเจอกับเบสมันจะสะเทินเบสด้วยการจับ OH- เข้าไปกลายเป็น Al(OH)4-

ทีนี้ถ้าเราเอา Si-O-H มาแช่น้ำ หมู่นี้ก็ไม่น่าจะแตกตัวให้ OH- ออกมา เพราะพันธะ Si-O นั้นเน้นไปทางเป็นโควาเลนซ์ ส่วนพันธะ O-H นั้นก็มีความเป็นโควาเลนซ์ที่สูงกว่าอีก แต่ถ้าเราให้ Si-O-H พบกับเบส เบสนั้นก็จะสามารถกระชาก H+ ออกมาได้

คำถามของสาวน้อยจากเมืองสุโขทัยเรื่องปฏิกิริยาระหว่างหมู่ Si-O-H กับสารละลาย CuCl2 นั้นผมไม่แน่ใจว่าคำตอบของเขาจะเกี่ยวข้องกับความเป็นกรด-เบสอย่างที่เขามาถามหรือไม่ เพราะหมู่ Si-O-H (Silanol - ไซลานอล) สามารถเกิดปฏิกิริยา dehydration ได้ง่ายในภาวะที่มีกรด เบส หรือแม้แต่เพียงความร้อน 
 
ส่วน CuCl2 นั้นเมื่อละลายน้ำจะกลายเป็นไอออนเชิงซ้อน [Cu(H2O)6]2+ และ [CuCl2+x]x− ()

สมมุติฐาน/แนวพิจารณาที่ผมพอจะตั้งได้ตามข้อมูลที่จำกัดที่เขาสามารถให้ผมได้คือ

. พอเติม SiO2 เข้าไปใน Al2O3 ก็จะเกิดหมู่ไซลานอลขึ้น ดังนั้นเป็นไปได้ไหมที่การแทนที่ด้วยไอออนลบ [CuCl2+x]x− ของสารละลาย CuCl2 เกิดที่หมู่ Si-OH ได้ดีกว่าการเกิดที่หมู่ Al-OH และ OH- ที่หลุดออกมาจากหมู่ Si-OH ที่ถูกแทนที่ด้วยไอออนลบ [CuCl2+x]x− นั้นแทนที่จะไปรับ H+ จากหมู่ Si-OH ที่อยู่เคียงข้าง กลับไปจับกับไอออนบวก [Cu(H2O)6]2+ ที่จับกับหมู่ Si-OH ตรงอะตอม O ของหมู่ Si-OH อีกหมู่หนึ่งที่อยู่เคียงข้าง และทำให้เกิดการตกตะกอน copper oxide ด้วยเหตุนี้จึงทำให้ตัวเร่งปฏิกิริยาที่ใช้ตัวรองรับเป็นออกไซด์ผสมระหว่าง SiO2 + Al2O3 แตกต่างไปจากตัวเร่งปฏิกิริยาที่ใช้ Al2O3 เพียงอย่างเดียวเป็นตัวรองรับ

. CuCl2 เมื่อละลายน้ำแล้วจะกลายเป็นไอออนอะไรนั้นยังขึ้นอยู่กับว่าน้ำที่ใช้เป็นตัวทำละลายนั้นมีอะไรอยู่ด้วย เช่นในภาวะที่มีกรดเกลือ HCl หรือแหล่งให้ Cl- CuCl2 จะกลายเป็นไอออนลบ CuCl3- และ CuCl42-

. Si-OH (ไซลานอล) นั้นอาจมองได้ว่าเป็นพวกที่อุปมาเหมือนกับ C-OH (แอลกอฮอล์) ที่ C ในแอลกอฮอล์ถูกแทนที่ด้วย Si (ทำนองเดียวกับพวกไซเลนที่คล้ายคลึงกับอัลเคน) ดังนั้นอาจใช้แนวทางปฏิกิริยาของหมู่ไฮดรอกซิลในหนังสือเคมีอินทรีย์เรื่องแอลกอฮอล์มาช่วยพิจารณาว่ามันสามารถทำปฏิกิริยาอะไรได้บ้าง เพียงแต่มันอาจมีความว่องไวแตกต่างไปจากแอลกอฮอล์บ้าง

. หมู่ -OH ของแอลกอฮอล์ (C-OH) นั้นสามารถถูกแทนที่ด้วยเฮไลด์ได้ (ดูปฏิกิริยา Lucas test เป็นตัวอย่าง ลองไปค้นดูตำราเคมีอินทรีย์เอาเองก็แล้วกัน) กลายเป็นสารโครงสร้าง C-Cl และปลดปล่อย -OH ออกมา ถ้าพิจารณาตามนี้ก็น่าจะลองตั้งสมมุติฐานดูว่าในภาวะการทำปฏิกิริยานั้น สารละลาย CuCl2 ที่เตรียมขึ้นมานั้นอาจทำให้ Cu อยู่ในรูปของ CuCl3- และ CuCl42- ซึ่งสามารถแลกเปลี่ยน Cl กับ OH ของหมู่ Si-OH ได้ ทำให้เกิดสารประกอบ Cu(OH)2 ตกตะกอนออกมากระจายตัวตามตำแหน่งพื้นผิวที่มีหมู่ Si-OH อยู่ และเนื่องจากหมู่ Si-OH ของ SiO2 ทำปฏิกิริยาไม่เหมือนกับหมู่ Al-OH ของ Al2O3 จึงทำให้ตัวเร่งปฏิกิริยาที่ได้นั้นมีความแตกต่างกัน

ผมฝากทฤษฎีไว้เท่านี้ก่อนก็แล้วกัน ส่วนที่ถูกต้องจะเป็นอย่างไรนั้นคงต้องให้สาวน้อยจากเมืองสุโขทัยที่มีรายละเอียดการทดลองมากกว่านี้ลองไปพิจารณาดูเอาเองก็แล้วกัน

หมายเหตุ
() http://en.wikipedia.org/wiki/Copper_%28II%29_chloride

วันอังคารที่ 24 เมษายน พ.ศ. 2555

ห่วงทางสะดวก MO Memoir : Tuesday 24 April 2555

เมื่อช่วงลอยกระทงปลายปีที่แล้วที่กลุ่มเราได้มีโอกาสไปนำเสนอผลงานวิชาการที่หาดใหญ่ ก็มีการถือโอกาสหลบฉากจากการประชุมเพื่อไปทำความรู้จักสถานที่ต่าง ๆ ที่อยู่รอบ ๆ หาดใหญ่ สถานที่หนึ่งที่เราได้แวะไปกันก็คือปาดังเบซาร์ซึ่งเป็นด่านชายแดนระหว่างไทยและมาเลเซีย ตอนขากลับก็เลยมีการแวะถ่ายรูปเล่นกันนิดหน่อยที่สถานีรถไฟคลองแงะ

รูปที่ ๑ ป้ายที่สถานีรถไฟคลองแงะ สถานีนี้อยู่ระหว่างสถานีชุมทางหาดใหญ่และสถานีปาดังเบซาร์ซึ่งเป็นจุดเชื่อมต่อเข้าไปยังประเทศมาเลเซีย (รถไฟสายกรุงเทพ-บัตเตอร์เวอร์ธ)

ที่คลองแงะเนี่ยผมเคยมาเที่ยวตอนเด็ก ๆ เพราะมีญาติผู้ใหญ่บางท่านอาศัยอยู่ที่นั่น สถานีรถไฟคลองแงะก็ตั้งอยู่ริมถนนเพชรเกษมพอดี

บังเอิญจังหวะที่เราแวะเข้าไปถ่ายรูปเล่นกันนั้น กำลังจะมีขบวนรถไฟจากปาดังเบซาร์ขบวนหนึ่งวิ่งผ่านสถานีพอดี ผมก็ชี้ให้ดูเสาต้นหนึ่งที่อยู่ที่ชานชาลาแล้วถามพวกที่ไปด้วยว่ารู้ไหมว่าเสาต้นนั้นมีไว้ทำไม ซึ่งดูเหมือนว่าจะไม่มีใครรู้จักเลย ผมก็บอกว่านั่นเป็นเสาสำหรับรับ-ส่งห่วงทางสะดวก เดี๋ยวคอยดูซิว่าเขารับส่งห่วงทางสะดวกอย่างไร

รถไฟขบวนดังกล่าววิ่งเข้าสถานีคลองแงะแบบไม่มีการเบาเครื่อง และพนักงานประจำรถไฟคนหนึ่งก็โผล่ออกมาจากหน้าต่างหัวรถจักร แล้วยื่นแขนคว้าเอาห่วงทางสะดวกที่นายสถานีนำมาติดไว้ที่เสา โดยไม่จำเป็นต้องมีการเบาเครื่องเลย

เชื่อว่าวันนั้นคงเป็นครั้งแรกของพวกที่ไปด้วยกัน ๕ คน ที่ได้เห็นการปฏิบัติงานดังกล่าวของเจ้าพนักงานรถไฟ

การเดินรถไฟในบ้านเรานั้นในท้องที่ที่ห่างไกลจากกรุงเทพยังใช้ระบบรางเดี่ยวอยู่ คือรถวิ่งไป-กลับบนรางเดียวกัน ดังนั้นจึงต้องมีการป้องกันไม่ให้มีขบวนรถสองขบวนวิ่งสวนทางกันบนรางเดียวกัน ระบบที่บ้านเราใช้คือการใช้ "ห่วงตราทางสะดวก" หรือ "เครื่องทางสะดวก" หรือ "ห่วงทางสะดวก"

"ห่วงทางสะดวก" เป็นเสมือนสัญญลักษณ์ที่รถไฟที่จะวิ่งในรางระหว่างสถานี ก และสถานี ข ต้องมี ถ้ารถไฟขบวนที่หนึ่งวิ่งมาถึงสถานี ก เพื่อไปยังสถานี ข และได้รับห่วงทางสะดวกที่สถานี ก รถไฟขบวนนี้ก็จะวิ่งไปยังสถานี ข ได้ ในขณะเดียวกันถ้ามีรถไฟขบวนที่สองวิ่งจากสถานี ค มายังสถานี ข เพื่อจะไปยังสถานี ก รถไฟขบวนที่สองนี้ก็จะนำห่วงทางสะดวก(สำหรับช่วงระหว่างสถานี ข และสถานี ค) ที่รับมาจากสถานี ค มาส่งให้ที่สถานี ข แต่จะออกจากสถานี ข ไปยังสถานี ก ไม่ได้ เพราะไม่มีห่วงทางสะดวกสำหรับช่วงระหว่างสถานี ข และสถานี ก เพราะห่วงทางสะดวกสำหรับช่วงนี้มันมีอยู่ชิ้นเดียวและอยู่ในขบวนรถขบวนที่หนึ่งที่กำลังวิ่งจากสถานี ก มายังสถานี ข ดังนั้นรถไฟขบวนที่สองจึงต้องหยุดรอที่สถานี ข ก่อน ที่เรียกกันทั่วไปว่ารอหลีก

พอรถไฟขบวนที่หนึ่งวิ่งเข้ามาถึงสถานี ข รถไฟขบวนนี้ก็จะนำเอาห่วงทางสะดวกที่รับมาจากสถานี ก มาคล้องที่เสารับห่วงทางสะดวก (ดูรูปที่ ๑ ด้านซ้าย)) เสานี้จะมีอยู่สองต้น อยู่คนละปลายของชานชาลาสถานีรถไฟ พอรถไฟขบวนที่หนึ่งวิ่งจะพ้นจากสถานีรถไฟ พนักงานประจำรถก็จะคว้าเอาห่วงทางสะดวกอีกห่วงหนึ่ง (สำหรับใช้ระหว่างสถานี ข และสถานี ค ที่อยู่ถัดไป) ที่นายสถานีรับมาจากรถไฟขบวนที่สองที่จอรอหลีกอยู่ และเอาไปติดเอาไว้ที่เสาอีกต้นหนึ่งที่อยู่ที่อีกปลายด้านหนึ่งของชานชาลา

รูปที่ ๒ รูปซ้ายคือเสาคล้องห่วงทางสะดวก แขนที่ยื่นออกมา (วงสีเหลือง) มีไว้สำหรับให้พนักงานในขบวนรถที่วิ่งเข้าสถานีเอาห่วงทางสะดวกที่รับมาจากสถานีก่อนหน้ามาส่งให้ที่สถานีนี้ ส่วนกล่องสีแดงที่อยู่เหนือขึ้นไป (วงส้ม) เป็นที่สำหรับนายสถานีเอาห่วงทางสะดวกมากเสียบเอาไว้ เพื่อให้ขบวนรถที่ออกจากสถานีคว้าเอาไปส่งให้กับสถานีถัดไป ที่อยู่บนยอดเสาคือโคมไฟส่องสว่าง ส่วนรูปขวาคือเครื่องทางสะดวก (ที่สถานีคลองแงะ) ที่พนักงานจะต้องเอาตราที่อยู่ในกระเป๋าที่อยู่ที่ห่วงทางสะดวกมาใส่ในเครื่องนี้

ห่วงทางสะดวกนั้นจะมีกระเป๋าหนังติดอยู่ ในกระเป๋าจะใส่ตรา (ไม่รู้ว่าเรียกถูกหรือเปล่า) ที่เป็นสัญญลักษณ์ประจำเส้นทางระหว่างสถานีสองสถานีเอาไว้ นายสถานีจะต้องเอาตราที่รับมามาใส่ในเครื่องทางสะดวก (รูปที่ ๑ ด้านขวา) เพื่อบอกว่าเส้นทางระหว่างสถานี ก และสถานี ข เปิดให้รถไฟขบวนที่สองวิ่งไปได้

เมื่อนายสถานี ข ได้รับห่วงทางสะดวกจากสถานี ก ที่ขบวนรถขบวนที่หนึ่งนำมาให้ นายสถานีก็จะนำเอาห่วงทางสะดวกนั้นไปให้พนักงานประจำรถไฟขบวนที่สองที่จอดรอหลีกอยู่ รถไฟขบวนที่สองนั้นก็จะสามารถวิ่งจากสถานี ข ไปยังสถานี ก ได้

ถ้าเกิดกรณีที่พนักงานที่ประจำหัวรถจักรรับห่วงพลาด ก็จะเกิดเหตุการณ์ที่ขบวนรถไฟต้องหยุด และอาจมีการวิ่งถอยหลังมารับห่วงทางสะดวกจากนายสถานี หรือไม่นายสถานีก็จะปั่นจักรยานเอาไปส่งให้กับพนักงานประจำรถไฟ เหตุการณ์ดังกล่าวตอนเด็ก ๆ ที่ผมต้องนั่งรถไฟไปเยี่ยมญาติต่างจังหวัดก็เจออยู่หลายครั้ง แต่ปัจจุบันหลาย ๆ สถานี โดยเฉพาะในเขตรอบ ๆ กรุงเทพมหานครและเส้นทางที่สร้างใหม่ (เช่นเส้นทางสายตะวันออกไปท่าเรือน้ำลึกที่แหลมฉบังและที่มาบตาพุด) ก็ไม่มีการใช้ระบบนี้แล้ว ดูเหมือนจะใช้ระบบ track circuit แทนกันแล้ว

วันที่ไปที่คลองแงะนั้นผมถ่ายรูปการรับส่งห่วงของพนักงานประจำหัวรถจักรไม่ทัน ก็เลยยังไม่ได้เขียนเรื่องนี้สักที บังเอิญไปค้นเจอรูปการรับส่งห่วงทางสะดวกที่เห็นว่าชัดเจนดีก็เลยขอเอามาลงประกอบ รูปที่ ๓ และ ๔ ผมเอามาจากhttp://www.panoramio.com/photo/385422xx ทั้งสองรูปถูกระบุว่าถ่ายโดยคุณ Sumran R. Dumpee สถานีปากคลองเป็นสถานีรถไฟที่ถ้าเป็นรถมุ่งหน้าลงใต้ก็จะเป็นสถานีที่อยู่ก่อนถึงพัทลุง


รูปที่ ๓ รถไฟกำลังจะวิ่งผ่านสถานีปากคลอง (จ.พัทลุง) จะเห็นห่วงทางสะดวกคล้องอยู่ที่เสา


รูปที่ ๔ ต่อเนื่องจากรูปที่ ๓ พนักงานประจำรถโผล่หน้าออกมากำลังจะคว้าห่วงทางสะดวกโดยไม่มีการหยุดรถไฟ

ในขณะที่คนกรุงเทพโหยหาสถานที่ท่องเที่ยวต่าง ๆ ที่จัดขึ้นในรูปแบบย้อนยุคนั้น บรรยากาศตามสถานีรถไฟเก่า ๆ เล็ก ๆ ในย่านชนบทของต่างจังหวัดเมื่ออดีต (เท่าที่ผมจำความได้ก็ร่วม ๔๐ ปีที่แล้ว) เคยเป็นอย่างไร ปัจจุบันก็ยังคงเป็นสภาพอย่างนั้นอยู่ สิ่งที่เปลี่ยนแปลงไปที่เห็นได้ชัดคือภาชนะใส่ของกินต่าง ๆ 
 
ปัจจุบัน ภาพพ่อค้าแม่ค้าขายที่นำข้าวแกงใส่กระทงที่ทำจากใบตองหรือใบบัว พร้อมกับคนขายกาแฟร้อนใส่กระป๋องนมข้นหวานที่เปิดฝา (แต่ไม่ตัดให้ขาดจากตัวกระป๋อง) และมีเชือกร้อย เดินขายตามชานชาลาสถานียามที่รถไฟเทียบชานชาลาตอนรุ่งสาง คงไม่มีให้เห็นอีกแล้ว

วันเสาร์ที่ 21 เมษายน พ.ศ. 2555

การดูดซับบนพื้นผิวตัวเร่งปฏิกิริยาวิวิธพันธ์ ตอนที่ ๕ แบบจำลองไอโซเทอมการดูดซับของ Temkin MO Memoir : Saturday 21 April 2555


เราเริ่มจากแนะนำให้รู้จักไอโซเทอมการดูดซับของนักวิทยาศาสตร์จากเยอรมันในยุคไกเซอร์ ตามด้วยของนักวิทยาศาสตร์จากสหรัฐอเมริกาในยุคที่ยังคงใช้ลัทธิมอนโร คราวนี้ก็ถึงทีของนักวิทยาศาสตร์จากรัสเซียในยุคของสตาลินบ้าง

ในขณะนี้เรายังพิจารณาการดูดซับของแก๊สบนพื้นผิวของแข็ง โดยยังคงเป็นการดูดซับที่ไม่เกินชั้นโมเลกุลเดียว

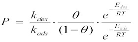
อัตราการดูดซับ (adsorption rate) บนพื้นผิวจะขึ้นอยู่กับ
- ความดันของแก๊ส (P) เหนือผิวของแข็งนั้น ถ้า P มีค่ามาก อัตราการดูดซับก็จะมากตามไปด้วย
- สัดส่วนพื้นที่ผิวของของแข็งที่ยังว่างอยู่ (พื้นที่ที่ยังไม่มีโมเลกุลแก๊สลงไปเกาะ) ซึ่งเท่ากับ (1 - θ) และ
- พลังงานกระตุ้นของการดูดซับ ซึ่งแปรผันตามอุณหภูมิ (kadsexp(-Eads/RT))

กล่าวคือ (1)

อัตราการคายซับ (desorption rate) บนพื้นผิวจะขึ้นอยู่กับ
- สัดส่วนพื้นที่ผิวของของแข็งที่มีโมเลกุลแก๊สปกคลุมอยู่ (θ) และ
- ค่าคงที่ของการคายซับ ซึ่งแปรผันตามอุณหภูมิ (kdesexp(-Eads/RT))

กล่าวคือ (2)

ที่ภาวะสมดุลนั้นอัตราการดูดซับเท่ากับอัตราการคายซับ หรือ สมการ (1) = สมการ (2)


(3)





จัดรูปแบบสมการที่ (3) ใหม่

   (4)



   (5)




สมการที่ (10) ก็คือแบบจำลองไอโซเทอมการดูดซับของ Langmuir นั่นเอง

ในกรณีที่ค่า θ มีค่าต่ำนั้นพบว่าค่า ΔHads ค่อนข้างคงที่ แต่เมื่อ θ เพิ่มขึ้นมีการสังเกตว่า ΔHads มีแนวโน้มที่จะลดลง การเปลี่ยนแปลงนี้เกิดจากการที่ตำแหน่งดูดซับบนพื้นผิวนั้นมีความแตกต่างกันอยู่และเกิดจากการมีแรงกระทำกันระหว่างโมเลกุลที่ถูกดูดซับอยู่บนพื้นผิวและโมเลกุลที่กำลังจะถูกดูดซับบนพื้นผิว (ตอนที่ Langmuir นำเสนอไอโซเทอมการดูดซับของเขาในปีค.. ๑๙๑๖ นั้น ภาพโครงสร้างอะตอมยังไม่มีความชัดเจน กลศาสตร์ควันตัมยังอยู่ในระหว่างการพัฒนา)


ที่อุณหภูมิคงที่จะเห็นว่าพจน์แรกทางด้านขวาของสมการที่ (14) นั้นไม่ขึ้นกับค่า θ และถือได้ว่าเป็นค่าคงที่ และค่า ln ของพจน์ที่สองนั้นเปลี่ยนจาก -1.39 (ที่ค่า θ = 0.2) ไปเป็น 1.39 (ที่ค่า θ = 0.8) ซึ่งพอจะประมาณได้ว่าเปลี่ยนแปลงไม่มาก ทำให้สามารถยุบรวมพจน์แรกและพจน์ที่สองเข้าด้วยกันและถือว่าเป็นค่าคงที่ และค่าในวงเล็บของพจน์ที่สามทางด้านขวานั้นก็เป็นค่าคงที่เช่นกัน

สมการที่ (18) คือไอโซเทอมการดูดซับของ Temkin นั่นเอง
ถ้าพิจารณาเทียบกับไอโซเทอม
ไอโซเทอมการดูดซับของ Temkin นั้นสามารถนำไปใช้ได้กับการดูดซับทางเคมี (chemisorption) เนื่องจากในสมการนั้นมีการพิจาณาถึงพลังงานกระตุ้นของการดูดซับด้วย

เอกสารประกอบ
http://www.sussex.ac.uk/Users/kaf18/SurfSci2.pdf
http://web.abo.fi/fak/tkf/tek/Temkin_100%20years.pdf
M. Albert Vannice, "Kinetics of catalytic reactions", Springer Science + Business Media, Inc., 2005.

รูปที่ ๑ Mikhail Temkin รูปซ้ายเป็นปีค.. ๑๙๓๒ ส่วนรูปขวาไม่มีการระบุปีค..ที่ถ่ายรูป (เกิด ๑๖ กันยายน ค.. ๑๙๐๘ ถึงแก่กรรม ๑ ตุลาคม ค.. ๑๙๙๑) รูปภาพจาก http://web.abo.fi/fak/tkf/tek/Temkin_100%20years.pdf