การวัดพื้นที่ผิวของแข็งที่มีรูพรุนด้วยการใช้การดูดซับแก๊สไนโตรเจนไม่เพียงแต่จะให้ข้อมูลเกี่ยวกับขนาดพื้นที่ผิวของของแข็งมีรูพรุนแล้ว
ข้อมูลความสัมพันธ์ระหว่างความดันที่ใช้และปริมาณแก๊สที่พื้นผิวดูดซับเอาไว้ได้
ยังช่วยบ่งบอกให้ทราบขนาดเส้นผ่านศูนย์กลางของรูพรุนด้วย
และรูปร่าง hysteresis
loop
ของเส้นการดูดซับ-คายซับยังช่วงบ่งบอกถึงรูปร่างของรูพรุนและการกระจายตัวของขนาดรูพรุน
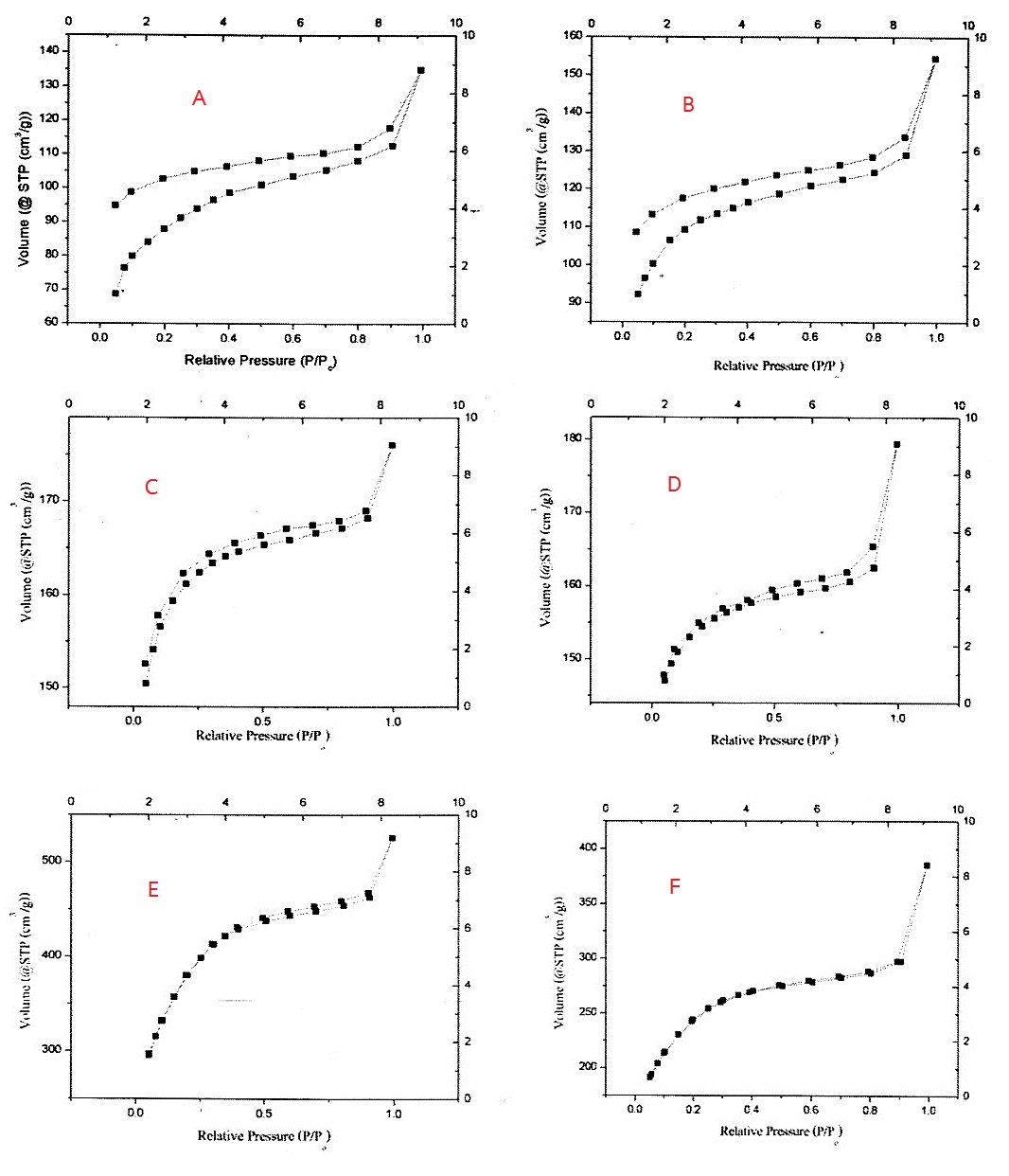
ตารางในรูปที่
๑ เป็นข้อมูลพื้นที่ผิวและขนาดเฉลี่ยรูพรุนของตัวอย่าง
๗ ชนิดด้วยกัน ส่วนรูปที่
๒ และ ๓
เป็นเส้นไอโซเทอมการดูดซับ-คายซับแก๊สไนโตรเจนของของแข็งแต่ละตัว
ลองพิจารณาข้อมูลดังกล่าวดูเอาเองก่อนนะครับ
รูปที่
๑ ตารางแสดงค่าพื้นที่ผิว
BET
(SBET) ปริมาตรรูพรุน
(Vt)
และขนาด
"เฉลี่ย"
ของรูพรุน
รูปที่
๓ กราฟไอโซเทอมการดูดซับ-คายซับของตัวอย่าง
A-F
สมมุติว่าเราให้รูพรุนมีรูปร่างเป็นทรงกระบอก
พื้นที่ผิวของรูพรุนก็คือพื้นที่ผนังทรงกระบอกนั่นเอง
พื้นที่ผนังทรงกระบอกจะแปรผันตามขนาดเส้นผ่านศูนย์กลางของทรงกระบอก
แต่ปริมาตรทรงกระบอกจะแปรผันตามขนาดเส้นผ่านศูนย์กลางยกกำลัง
๒ กล่าวคือสำหรับทรงกระบอกยาวเท่ากัน
ทรงกระบอกที่มีเส้นผ่านศูนย์กลาง
๓ หน่วยจะมีพื้นที่ผิวเป็น
๓ เท่าและปริมาตรเป็น ๙
เท่าของทรงกระบอกที่มีเส้นผ่านศูนย์กลาง
๑ หน่วย หรือทรงกระบอกที่มีเส้นผ่านศูนย์กลาง
๑ หน่วยจำนวน ๙
ชิ้นจะมีปริมาตรเท่ากับทรงกระบอกที่มีเส้นผ่านศูนย์กลาง
๓ หน่วย ๑ ชิ้น แต่จะมีพื้นที่ผิวมากกว่า
๓ เท่า
ดังนั้นวัสดุของแข็งที่มีรูพรุน
จะมีพื้นที่ผิวรูพรุนได้มากก็ต่อเมื่อรูพรุนมีขนาดเล็ก
ยิ่งพื้นที่ผิวมีมากขึ้น
จำนวนรูพรุนขนาดเล็กก็จะมากตามไปด้วย
ทีนี้ลองกลับไปพิจารณาข้อมูลในรูปที่
๑ ดูใหม่นะครับ
ตรงความสัมพันธ์ระหว่างพื้นที่กับขนาดเฉลี่ยรูพรุน
เช่นตรงตัวอย่าง G
กับ
F
ที่มีพื้นที่ผิวในระดับเดียวกัน
แต่ขนาด "เฉลี่ย"
รูพรุนแตกต่างกันสองเท่า
และในกรณีของตัวอย่าง A
C B และ
D
ที่มีขนาดรูพรุนเฉลี่ยเล็กกว่าของตัวอย่าง
G
กับ
F
แต่มีพื้นที่ผิวต่ำกว่ามาก
ขนาดรูพรุนที่เกี่ยวข้องกับของแข็งที่ใช้เป็นตัวเร่งปฏิกิริยาวิวิธพันธ์หรือสารดูดซับนั้นมีอยู่ด้วยกันสองส่วน
ส่วนแรกคือรูพรุนขนาดเล็กหรือ
micro
pore ที่เป็นรูพรุนที่มีขนาดเส้นผ่านศูนย์กลางตั้งแต่
2
nm ลงไป
ส่วนที่สองคือรูพรุนขนาดกลางหรือ
meso
pore ที่เป็นรูพรุนที่มีขนาดเส้นผ่านศูนย์กลางตั้งแต่
2
nm ขึ้นมาถึงประมาณ
100
nm สำหรับของแข็งที่มีพื้นที่ผิวไม่มาก
(คร่าว
ๆ ก็ไม่เกิน 200
m2/g พื้นที่ผิวส่วนใหญ่จะเป็นของ
meso
pore แต่ในกรณีของของแข็งที่มีพื้นที่ผิวสูง
(คร่าว
ๆ ก็ 300
m2/g ขึ้นไป)
พื้นที่ผิวส่วนใหญ่จะเป็นของ
micro
pore ยิ่งพวกที่มีพื้นที่ผิวเข้าไปหาหลัก
1000
m2/g อาจเรียกได้ว่ากว่าร้อยละ
80
หรือ
90
ของพื้นที่ผิวที่เห็นนั้นจะเป็นของ
meso
pore หรือพวกที่มีขนาดเส้นผ่านศูนย์กลางเล็กกว่า
2
nm จากข้อเท็จจริงตรงนี้ทำให้เห็นความขัดแย้งของข้อมูลในรูปที่
๑ ตรงขนาดพื้นที่ผิวที่วัดได้กับขนาดเส้นผ่านศูนย์กลางเฉลี่ย
เช่นในกรณีของตัวอย่าง G
ที่มีพื้นที่ผิวระดับ
800
m2/g
แต่กลับเห็นรูพรุนมีขนาดเส้นผ่านศูนย์กลางเฉลี่ยใหญ่กว่า
4
nm
คำถามก็คือมันมีความผิดพลาดในการวิเคราะห์ตรงไหนจึงทำให้ได้ผลออกมาอย่างนั้น
ความผิดพลาดในการรายงานผลก็คือ
เขาไม่ได้ทำการวัด "ขนาด"
ของ
micro
pore (เห็นได้จากการที่ไม่มีจุดข้อมูลช่วงค่า
P/P0
ไต่จากศูนย์ขึ้นมาดังเช่นในรูปที่
๔-๖)
ตัวเลขพื้นที่ผิวที่เห็นนั้นเป็นพื้นที่ผิวรวมทั้งของ
micro
pore และ
meso
pore แต่ขนาดเส้นผ่านศูนย์กลาง
"เฉลี่ย"
ที่เขานำมาแสดงนั้นมันเป็นในส่วนของ
meso
pore
การวัดขนาดเส้นผ่านศูนย์กลางของ
micro
pore เป็นงานละเอียดและใช้เวลามาก
เพราะต้องค่อย ๆ เพิ่มความดันแก๊สช้า
ๆ ในช่วงค่า Relative
pressure (P/P0) ใกล้ศูนย์
ลองดูกราฟในรูปที่ ๔-๖
ดูก็ได้ครับ ช่วงดังกล่าว
(ในกรอบสีแดง)
เปลี่ยนความดันเพียงแค่นิดเดียว
ปริมาตรแก๊สไนโตรเจนที่ตัวอย่างดูดซับเอาไว้ได้จะกระโดดเพิ่มขึ้นมากกระทันหัน
ยิ่งกราฟช่วงนี้สูงมากเท่าใดก็แสดงว่ามี
micro
pore เป็นจำนวนมาก
และพื้นที่ผิวของ miro
pore ก็จะมากตามไปด้วย
รูปที่
๔ กราฟไอโซเทอมการดูดซับ-คายซับของตัวเร่งปฏิกิริยา
TS-PQTM
รูปที่
๖ กราฟไอโซเทอมการดูดซับ-คายซับของตัวเร่งปฏิกิริยา
TS-MCM-41
สังเกตดูนิดนึงนะครับว่าปริมาตรแก๊สที่ตัวอย่างนี้ดูดซับได้ทั้งหมดคือประมาณ
350
ml/g ซึ่งพอ
ๆ กับของ TS-PQTM
ในรูปที่
๔ แต่พื้นที่ผิวของ TS-MCM-41
มากกว่าของ
TS-PQTM
อยู่สองเท่า
(ตารางในรูปที่
๗)
รูปที่
๗ ข้างล่างเป็นผลการคำนวณพื้นที่ผิวทั้งหมดและส่วนของ
meso
pore (ขนาดระหว่าง
2
ถึง
100
nm หรือ
20
ถึง
1000
Å) จะเห็นนะครับว่าพื้นที่ผิว
BET
ส่วนใหญ่ที่วัดได้จะเป็นพื้นที่ผิวของ
micro
pore (ผลต่างระหว่างตัวเลขในช่องที่
2
กับช่องที่
4)
เช่นในกรณีของตัวเร่งปฏิกิริยา
TS-1
ที่มีพื้นที่ผิว
BET
339 m2/g แต่เป็นของ
meso
pore เพียงแค่
63.67
m2/g หรือไม่ถึง
20%
แต่ถ้าดูปริมาตรของ
meso
pore จะพบว่าปริมาตรของ
meso
pore (ตัวเลขในช่องสุดท้าย)
มีค่าเกือบสามเท่าของปริมาตร
micro
pore และในกรณีของตัวเร่งปฏิกิริยา
Ti-MCM-41
ที่มีพื้นที่ผิว
BET
965 m2/g แต่เป็นของ
meso
pore เพียงแค่
87.22
m2/g หรือเพียงแค่
9%
เท่านั้นเอง
รูปที่
๗ ผลการวิเคราะห์ตัวอย่างในรูปที่
๔-๖
ถ้าเช่นนั้นทุกครั้งที่เราวัดพื้นที่ผิว
BET
เราก็ควรให้เขาวัดขนาด
micro
pore ให้ด้วยดีไหมครับ
คำตอบก็คือถ้าคุณมีตังค์จ่าย
มีคนยอมวิเคราะห์ให้คุณ
และคุณมีเวลานานมากพอ
คุณก็สามารถทำได้ครับ
อย่างที่ผมเกริ่นมาข้างต้นว่าการวัดขนาด
micro
pore ด้วยนั้นมันกินเวลานานกว่าการไม่ต้องการทราบขนาดอยู่มากครับ
ตัวอย่างเช่นถ้าคุณต้องการทราบเพียงแค่พื้นที่ผิว
(และขนาดเฉลี่ยของ
meso
pore) โดยไม่สนในขนาดของ
micro
pore คุณก็สามารถทำการวัดโดยการเติมแก๊สไนโตรเจนให้เต็ม
micro
pore อย่างรวดเร็ว
แล้วค่อย ๆ เติมแก๊สไนโตรเจนให้เติมเต็ม
meso
pore
จากประสบการณ์พบว่าสำหรับตัวอย่างที่มีพื้นที่ผิวอยู่หลักหลายร้อยหรือไปแตะหลักพัน
m2/g
ก็ใช้เวลาวิเคราะห์ไม่กี่ชั่วโมง
แต่ถ้าคุณต้องการทราบขนาด
micro
pore ด้วย
วิเคราะห์แต่ละตัวอย่างจะใช้เวลาถึงระดับ
๒๔ ชั่วโมงกว่าจะเสร็จก็ไม่ใช่เรื่องแปลก
(เอาเฉพาะตอนให้ดูดซับแก๊สนะครับ
ยังไม่ต้องรวมเวลาที่ต้องใช้ในการทำสุญญากาศ)
ด้วยเหตุนี้ถ้าคุณส่งตัวอย่างให้คนอื่นทำการวิเคราะห์ให้
และคุณไม่คุยกับเขาให้เข้าใจตรงกัน
มันก็ไม่แปลกนะครับถ้าเขาจะไม่วัดขนาด
micro
pore ให้กับคุณ
เพราะมันเสียเวลาการทำงานของเขาและมีค่าใช้จ่ายต่อตัวอย่างที่สูงกว่าด้วย
เพราะแทนที่ในหนึ่งวันเขาจะวิเคราะห์ได้
๒ หรือ ๓ ตัวอย่าง
(คือตัวอย่างสุดท้ายตั้งเครื่องให้มันทำงานอัตโนมัติข้ามคืนได้
แล้วค่อยมาเอาผลตอนเช้า)
จะกลายเป็นว่าทำได้เพียงแค่ตัวอย่างเดียว
ยิ่งเป็นเครื่องที่ใช้ร่วมกันในหน่วยงานและมีการต่อคิวใช้กันเยอะ
ๆ ด้วย
มันจะมีแรงกดดันจากคนที่รอต่อคิววิเคราะห์อยู่ด้วยได้เหมือนกัน
รูปที่
๘ ข้างล่างเป็นการเอาข้อมูลการดูดซับในส่วนของ
micro
pore มาวิเคราะห์การกระจายขนาดของ
micro
pore ด้วยการเขียนกราฟแบบ
Horvath-Kawazoe
รายละเอียดตรงนี้เป็นอย่างไรขอไม่กล่าวถึงนะครับ
เพราะผมเองก็ไม่ได้เข้าใจทฤษฎีเรื่องเหล่านี้ดีเท่าใดนัก
รูปที่
๘ กราฟ Horvath-Kawazoe
differential pore volume plot
ของรูพรุนที่มีขนาดเส้นผ่านศูนย์กลางเล็กกว่า
2
nm
ตัวเร่งปฏิกิริยาที่ดีไม่จำเป็นต้องมีพื้นที่ผิวสูงนะครับ
มันยังขึ้นกับเฟสของการเกิดปฏิกิริยาและขนาดโมเลกุลของสารตั้งต้น
ถ้าสารตั้งต้นของคุณมีโมเลกุลใหญ่
เช่น triglyceride
ของกรดไขมันจากน้ำมันปาล์มที่มีจำนวนอะตอม
C
อยู่ที่ระดับ
๑๖ อะตอมหรือมากกว่า
(ของน้ำมันถั่วเหลือจะอยู่ที่ระดับ
๒๐ อะตอมหรือมากกว่า)
แถมยังมีโมเลกุลกรดไขมันนี้
๓ โมเลกุลแผ่กระจายเป็น ๓
แขนออกไป ลองคิดดูง่าย ๆ
นะครับว่าความยาวเฉลี่ยพันธะ
C-C
อยู่ที่ประมาณ
0.15
nm ดังนั้นกรดไขมันที่มีจำนวนอะตอม
C
ราว
๒๐ อะตอมก็น่าจะมีความยาวโซ่ไม่น้อยกว่า
2
nm (คือในความเป็นจริงอะตอม
C
มันไม่ได้เรียงกันเป็นเส้นตรง
แต่มันสลับไปมาในสามมิติแบบฟันปลา
เนื่องจากมันสร้างพันธะเป็นทรงเหลี่ยมสี่หน้า)
มันจึงยากที่โมเลกุลขนาดนี้จะแพร่เข้าไปทำปฏิกิริยาใน
micro
pore
การทำปฏิกิริยาในเฟสแก๊สจะไม่มีปัญหาเรื่องความชอบของพื้นผิวต่อความเป็นขั้วของโมเลกุลสารตั้งต้น
แต่การทำปฏิกิริยาในเฟสของเหลวจะมีปัญหาเรื่องนี้ได้
ในกรณีที่ปฏิกิริยาที่ศึกษานั้นมีสารตั้งต้นสองชนิด
โดยตัวหนึ่งโมเลกุลมีความเป็นขั้วสูง
และอีกตัวหนึ่งโมเลกุลไม่มีความเป็นขั้ว
(เช่นปฏิกิริยา
transesterification
ระหว่างแอลกฮอล์โมเลกุลเล็กเช่นเมทานอลที่เป็นโมเลกุลมีขั้วสูงกับน้ำมันพืชที่เป็นโมเลกุลไม่มีขั้ว)
ถ้าพื้นผิวชอบโมเลกุลมีขั้วมากเป็นพิเศษ
มันก็จะดูดซับเอาโมเลกุลมีขั้วไว้บนพื้นผิวมากจนกระทั่งโมเลกุลไม่มีขั้วเข้าไปเกาะบนพื้นผิวไม่ได้
ปฏิกิริยาก็จะไม่เกิด
และในทางกลับกันถ้าพื้นผิวชอบโมเลกุลไม่มีขั้วมากเป็นพิเศษ
พื้นผิวก็จะดูดซับเอาโมเลกุลไม่มีขั้วไว้บนพื้นผิวจนเต็มไปหมดจนโมเลกุลมีขั้วแทรกเข้าไม่ถึง
ปฏิกิริยาก็จะไม่เกิดเช่นกัน
ปฏิกิริยา hydroxylation
ระหว่างเบนซีนกับไฮโดรเจนเปอร์ออกไซด์เพื่อสังเคราะห์ฟีนอลก็มีปัญหานี้เช่นกัน








ไม่มีความคิดเห็น:
แสดงความคิดเห็น
หมายเหตุ: มีเพียงสมาชิกของบล็อกนี้เท่านั้นที่สามารถแสดงความคิดเห็น